![]() |
![]() |
本公司贵金属电极采用磁控溅射设备制造,选用柔性基材等,可实现纳米级沉积,可应用于多行业微量物质含量的电化学检测。
贵金属电极特点:电极采用贵金属材质,或根据客户要求定制金属种类,具有更高的灵敏度和选择性、更好的抗干扰和膜基结合力、环保无污染、催化活性高、导电性能优异、化学稳定性良好、抗氧化性能强、不易钝化等特点,在长期运行中可保持稳定,具备显著的应用优势。
电极使用场景推荐:
公司提供定制服务,可根据客户需求设计和制造特定规格的贵金属电极。
电极材质:Au、Ag、Pt、Ti、Cu、Ni、C以及合金或陶瓷化合物等
电极基板:PET、PI等
黄金电极 黄金生物传感器
磁控溅射工艺纯金电极,电极与PIN为高纯度全金材质,催化活性高,导电性能优异,化学稳定性良好,抗氧化性能强,不易钝化,在长期运行中可保持稳定,具备显著的应用优势。
全Au电极参数:
型号:HL-PA
尺寸:31×6×0.35mm
电极基板:PET
电极及PIN材质:Au
存储条件:干燥、室温、避光
铂金电极 铂金生物传感器
磁控溅射工艺纯铂金电极,电极与PIN为全铂材质,催化活性高,导电性能优异,化学稳定性良好,抗氧化性能强,不易钝化,在长期运行中可保持稳定,具备显著的应用优势。
全铂电极参数
型号:HL-PP
尺寸:31×6×0.35mm
电极基板:PET
电极及PIN材质:Pt
存储条件:干燥、室温、避光
HL- PA2电极为丝网印刷纯银电极,电极与PIN为全银材质,成本较低,同时导电性能出色,化学稳定性良好,易于修饰,设计灵活。
全Ag电极参数:
型号:HL-PA2
尺寸:31×6×0.35mm
电极基板:PET
电极及PIN材质:Ag
存储条件:干燥、室温、避光
HL- PC电极为丝网印刷纯碳电极,电极与PIN为全碳材质,成本较低,经济性极高,同时导电性能出色,化学稳定性良好,易于修饰,设计灵活。
全碳电极参数:
型号:HL-PC
尺寸:31×6×0.35mm
电极基板:PET
电极及PIN材质:C
存储条件:干燥、室温、避光
型号:HL-D004-01
尺寸:34×6×0.25 mm
电极基板:PET
电极及PIN材质:Au(RE可印刷Ag/AgCl)
储存条件:干燥、密封、室温

磁控溅射工艺纯金电极,全电极为高纯度Au材质,具备一定的金膜脱落抗性,在-0.6V~0.6V可连续工作10min,保持稳定的电化学性能。双工作电极设计,可同时应对两种目标物的检测场景,例如全血中血糖与红细胞压积的同时检测等。
型号:HL-C005-01
尺寸:34×6×0.25 mm
电极基板:PET
电极及PIN材质:Au(RE可印刷Ag/AgCl)
储存条件:干燥、密封、室温

磁控溅射工艺纯金电极,全电极为高纯度Au材质,催化活性高,导电性能好,抗氧化性能强,具备优异的应用优势。
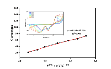
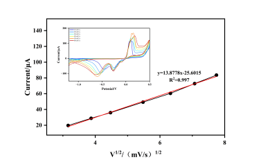
在5 mM K3[Fe(CN)6]/K4[Fe(CN)6](0.1 M KCl)溶液中,因其特殊的设计,具备一定的金膜脱落抗性,在-0.6V~0.6V可连续工作10min,保持稳定的电化学性能。
汇立生物科技(常州)有限公司研发的**HL-CO100一氧化碳口腔呼吸检测仪**是一款高精度便携式检测设备,专用于通过口腔呼吸气体快速、非侵入式检测人体呼出气中的一氧化碳(CO)浓度。本产品适用于健康管理、戒烟监测及环境安全等领域,具备响应快、精度高、操作简便等特点。